Акции
Услуги
  • Тонировка и бронирование автомобиля
    • Антигравийная пленка для автомобиля
    • Атермальная пленка
    • Бронирование пленкой автомобиля
    • Бронь на лобовое стекло автомобиля
    • Растонировка стекол автомобиля
    • Тонировка автомобиля
    • Тонировка по ГОСТу
  • Установка автозвука
    • Установка акустики
    • Установка магнитолы
    • Установка подиумов
    • Установка сабвуфера
    • Установка усилителя
  • Установка автосигнализации
    • Gps трекер для автомобиля
    • Демонтаж сигнализации
    • Установка сигнализации с автозапуском
    • Установка сигнализации с управлением с телефона GSM
  • Шумоизоляция автомобиля
    • Полная шумоизоляция
    • Шумоизоляция дверей
    • Шумоизоляция арок
    • Шумоизоляция багажника
    • Шумоизоляция крыши
    • Шумоизоляция пола
  • Контурная подсветка салона
    • Установка подсветки салона
  • Мастерская
    • Изготовление дверных карт
    • Изготовление коробов стелс
    • Изготовление подиумов
Блог
Бренды
Как купить
  • Условия оплаты
  • Условия доставки
  • Гарантия на товар
  • Подарочные карты
Компания
  • О компании
  • Отзывы
Контакты
Сотрудничество
    +7 (800) 550-99-69
    +7 (800) 550-99-69
    Email
    support@dbshop.ru
    Всё для громкого автозвука
    • Автомагнитолы
      Автомагнитолы
      • Магнитолы на Андроид
      • 1DIN Магнитолы
      • 2DIN Магнитолы
      • Морские магнитолы
      • Аксессуары к магнитолам      
        • Переходные рамки
        • Переходные рамки Android
        • Адаптеры и переходники
        • Антенны
    • Сабвуферы
      Сабвуферы
      • Сабвуферы 6.5 - 8 дюймов
      • Сабвуферы 10 дюймов
      • Сабвуферы 12 дюймов
      • Сабвуферы 15 дюймов
      • Сабвуферы 18 дюймов
      • Сабвуферы 21 дюйм
      • Корпусные сабвуферы      
        • Пассивные сабвуферы
        • Активные сабвуферы
      • Защитные грили
    • Громкая акустика
      Громкая акустика
      • Среднечастотная акустика
      • Широкополосная акустика
      • Мидбасы
      • Рупорные ВЧ
      • Драйверы
      • Защитные сетки
      • Ремкомплекты
    • Короба и аксессуары
      Короба и аксессуары
      • Короба для сабвуферов
      • Стелс-короба для сабвуфера
      • Фазоинверторы и раскрывы
      • Терминалы акустические
    • Усилители
      Усилители
      • 1-канальные усилители
      • 2-канальные усилители
      • 4-канальные усилители
      • Многоканальные усилители
      • Процессоры
      • Аксессуары для усилителей
    • HI-FI акустика
      HI-FI акустика
      • Компонентная акустика
      • Коаксиальная акустика
      • Штатная акустика      
        • Акустика для Audi
        • Акустика для Honda, Acura
        • Акустика для Hyundai, Kia
        • Акустика для Mazda
        • Акустика для Nissan, Renault, Lada
        • Акустика для Toyota, Lexus, Subaru
        • Акустика для VW, Skoda, Seat
        • Акустика для BMW
        • Акустика для Mercedes-Benz
      • СЧ/НЧ-динамики
      • Морская акустика
      • ВЧ-твитеры
    • Подиумы и аксессуары
      Подиумы и аксессуары
      • Подиумы дверные
      • Подиумы универсальные
      • Подиумы под твитеры
      • Полки акустические
      • Проставочные кольца
    • Автоэлектроника
      Автоэлектроника
      • Видеорегистраторы и радар-детекторы
      • Помощь при парковке      
        • Парктроники
        • Камеры заднего вида и мониторы
        • Адаптеры
        • Плафоны для камеры заднего вида
        • Омыватели камер
      • Автосвет      
        • Блоки розжига
      • Наборы инструментов
      • Автомобильные доводчики дверей
      • Комбо-устройства
      • Карты памяти
      • Подсветка салона
    • Кабель
      Кабель
      • Силовой кабель
      • Акустический кабель
      • Межблочный кабель      
        • RCA кабель
        • RCA Y-разветвители
        • RCA коннекторы
      • Кабель AUX
      • Монтажный кабель
      • Оплетка кабеля
      • Термоусадка
      • Установочные комплекты
    • Аксессуары
      Аксессуары
      • Монтажные аксессуары      
        • Дистрибьюторы питания
        • Колбы-держатели
        • Предохранители
        • Клеммы и наконечники
        • Саморезы
        • Хомуты и изолента
        • Гофра
      • Акустические аксессуары      
        • Преобразователи и конвертеры уровня
        • Шумоподавители
        • Кроссоверы и конденсаторы
        • Вольтметры
        • Вентиляторы охлаждения
        • Кнопки
      • Измерительные приборы
    • Охранные системы
      Охранные системы
      • Автосигнализации      
        • Сигнализации с автозапуском
        • Сигнализации с обратной связью
        • Сигнализации без обратной связи
        • Мотосигнализации
        • Маяки и GSM модули
        • Комплектующие для автосигнализаций
      • Брелоки, чехлы
      • Замки капота, блокировки
    • Питание системы
      Питание системы
      • Аккумуляторы
      • Генераторы
      • Батарейки
    • Шумоизоляция
      Шумоизоляция
      • Шумоизоляция
      • Виброизоляция
      • Инструменты
    • Сделай САМ!
      Сделай САМ!
      • Смола и стекломат
      • Карпет
      • Термокожа
      • Клей
    • Промо
      Промо
      • Фирменная одежда
      • Разное
    • Автохимия
      Автохимия
    • Портативная акустика
      Портативная акустика
    Войти
    0 Сравнение
    0 Избранное
    0 Корзина
    Войти
    0 Сравнение
    0 Избранное
    0 Корзина
    Телефоны
    +7 (800) 550-99-69
    Email
    support@dbshop.ru
    0
    0
    0
      • Набережные Челны
    • Кабинет
    • 0 Сравнение
    • 0 Избранное
    • 0 Корзина
    • Бренды
    • Акции
    • Услуги
      • Услуги
      • Тонировка и бронирование автомобиля
        • Тонировка и бронирование автомобиля
        • Антигравийная пленка для автомобиля
        • Атермальная пленка
        • Бронирование пленкой автомобиля
        • Бронь на лобовое стекло автомобиля
        • Растонировка стекол автомобиля
        • Тонировка автомобиля
        • Тонировка по ГОСТу
      • Установка автозвука
        • Установка автозвука
        • Установка акустики
        • Установка магнитолы
        • Установка подиумов
        • Установка сабвуфера
        • Установка усилителя
      • Установка автосигнализации
        • Установка автосигнализации
        • Gps трекер для автомобиля
        • Демонтаж сигнализации
        • Установка сигнализации с автозапуском
        • Установка сигнализации с управлением с телефона GSM
      • Шумоизоляция автомобиля
        • Шумоизоляция автомобиля
        • Полная шумоизоляция
        • Шумоизоляция дверей
        • Шумоизоляция арок
        • Шумоизоляция багажника
        • Шумоизоляция крыши
        • Шумоизоляция пола
      • Контурная подсветка салона
        • Контурная подсветка салона
        • Установка подсветки салона
      • Мастерская
        • Мастерская
        • Изготовление дверных карт
        • Изготовление коробов стелс
        • Изготовление подиумов
    • Компания
      • Компания
      • О компании
      • Отзывы
    • Блог
    • Как купить
      • Как купить
      • Условия оплаты
      • Условия доставки
      • Гарантия на товар
      • Подарочные карты
    • Контакты
    • Сотрудничество
    +7 (800) 550-99-69
    • Телефоны
    • +7 (800) 550-99-69
    • support@dbshop.ru
    Главная
    Блог
    Советы покупателям
    Как определить реальную мощность усилителя?

    Как определить реальную мощность усилителя?

    Советы покупателям 25 января 2023

    Как рассчитывать мощность усилителя

    Выяснить реальную мощность усилителя несложно. Для этого достаточно опираться на номинальное значение установленных в усилке предохранителей. Этот метод можно назвать вполне точным: производитель может написать на упаковке любое значение, но он не станет устанавливать предохранители очень большого номинала, так как они не смогут справляться со своими функциями. Очень низкий номинал также никто не станет использовать – это может просто задушить усилитель.

    Конечно, такая методика расчета является примерной, но ее точности более чем достаточно для обычных пользователей. Полученное значение позволит объективно оценить мощность оборудования – на этот показатель можно смело ориентироваться, подбирая сабвуфер и акустику.

    Перед тем как узнать коэффициент полезного действия усилителя для автозвука необходимо узнать его класс (нужные сведения можно получить в документации оборудования):

    ·         АВ – способен выдавать хороший сигнал при коэффициенте полезного действия около 50 процентов. Подобные усилки чаще всего устанавливаются в автомагнитолах.

    ·         D – более новый класс, который чаще всего используется для сабвуферов. Такие усилки обрабатывают звуковой сигнал цифровым способом и имеют коэффициент полезного действия в пределах 70-80 процентов.

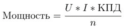
    Формула расчета мощности

    Чтобы узнать истинную конструктивную мощность понравившегося вам оборудования, просто воспользуйтесь приведенной ниже формулой:


    В данном случае:

    ·         U – напряжение в электросети при заведенном моторе (14,4 В);

    ·         I – номинальная характеристика предохранителя (или их сумма, если в системе установлено несколько штук);

    ·         КПД – 0,5 для оборудования AB типа, и 0,75 для D;

    ·         n - число каналов оборудования.

    Если объяснить вкратце, то если вы хотите узнать количество Ватт на один канал, необходимо подсчитайте значение фактической мощности с учетом коэффициента полезного действия и разделить полученное значение на общее число каналов.

    Товары

    Акция
    Хит
    11.01.2026 23:55:00 0000
    Быстрый просмотр
    1 2 3 4
    29 592 ₽
    36 990 ₽
    -20%
    2-канальный усилитель Apocalypse Sport ASA-2500.2
    0
    0
    Достаточно
    Производитель
    :
    Deaf Bonce
    Акция
    11.01.2026 23:55:00 0000
    Быстрый просмотр
    1 2 3
    14 872 ₽
    18 590 ₽
    -20%
    1-канальный усилитель Apocalypse ATOM 2.5K PRO
    5
    1
    Много
    Производитель
    :
    Deaf Bonce
    Новинка
    Быстрый просмотр
    4-канальный усилитель Hertz DP 4.400
    25 500 ₽
    4-канальный усилитель Hertz DP 4.400
    0
    0
    Мало
    Акция
    11.01.2026 23:55:00 0000
    Быстрый просмотр
    1 2 3
    28 042 ₽
    32 990 ₽
    -15%
    1-канальный усилитель Apocalypse Sport ASA-2000.1
    0
    0
    Достаточно
    Производитель
    :
    Deaf Bonce
    Акция
    11.01.2026 23:55:00 0000
    Быстрый просмотр
    1 2 3
    32 292 ₽
    37 990 ₽
    -15%
    1-канальный усилитель Apocalypse Sport ASA-3000.1
    0
    0
    Мало
    Производитель
    :
    Deaf Bonce
    28.02.2026 00:00:00 0000
    Быстрый просмотр
    1 2 3 4
    15 390 ₽
    17 100 ₽
    -10%
    2-канальный усилитель Dynamic State SKIF SKA-550.2
    0
    0
    Мало
    Производитель
    :
    Dynamic State
    Быстрый просмотр
    1 2 3 5
    11 490 ₽
    4-канальный усилитель Focal Auditor AP-4.380
    0
    0
    Мало
    Производитель
    :
    Focal
    Быстрый просмотр
    2 3 4 1(1)
    10 390 ₽
    4-канальный усилитель Hellion HAM 4.6pin DSP
    0
    0
    Мало
    Производитель
    :
    Hellion
    Быстрый просмотр
    1 2 3 4
    18 990 ₽
    4-канальный усилитель Hellion HAM 450.4D
    0
    0
    Мало
    Производитель
    :
    Hellion
    Акция
    11.01.2026 23:55:00 0000
    Быстрый просмотр
    1 2 3 4
    18 712 ₽
    23 390 ₽
    -20%
    4-канальный усилитель Apocalypse Sport ASA-550.4
    0
    0
    Достаточно
    Производитель
    :
    Deaf Bonce
    1 2 3 ... 42
    • Комментарии
    Загрузка комментариев...
    Назад к списку
    • Все публикации 79
      • Наши работы 33
      • Обзоры товаров 4
      • Советы покупателям 42
    Подпишитесь на рассылку наших новостей и акций
    Подписаться
    О компании
    Услуги
    Как купить
    Бренды
    Контакты
    Сотрудничество
    Связаться с нами
    +7 (800) 550-99-69
    +7 (800) 550-99-69
    Email
    support@dbshop.ru
    support@dbshop.ru
    Конфиденциальность
    Оферта
    © 2018-2026 DBShop — Самый громкий автозвук по доступным ценам
    Сайт не является публичной офертой, определяемой положениями Статьи 437 (2) ГК РФ и носит исключительно информационный характер.
    Производитель оставляет за собой право изменять характеристики товара, его внешний вид и комплектность без предварительного уведомления продавца.